Практически режим FA наступает при объёме ящика под 4Vas и более.
Вид для печати
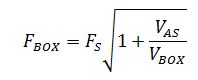
Таки формула есть Вложение 883502
А полная добротность возрастает во столько же раз, во сколько возрастает резонанс в оформлении.
То есть если выбирать Vbox > 2-3Vas , то резонанс и добротность практически остаются на месте...
1,5 литра в стойке можно замутить,где-то стойки пластик прикупить надо.Разборки буду шерстить)).В принипе ясно куда двигаться,Папа Карло отдельное спасибо-всё по полочкам разложил.Тему не буду закрывать,может вопрос какой появится) Для других информация,HL популярный "тип")):not_i:
---------- Сообщение добавлено 31.10.2015 в 19:07 ----------
Да,а если в подиумы старые, ВЧ поставить,а СЧ в стойки как хотел.Низко наверно будет?
Вложение 883510 типа такого (фото из интернета прошу простить автора,что его использовал) Как Вам такой вариант?? 1,5 думаю наберу.При таком располажении СЧ ВЧ могут быть проблемы со сценой??
А чем такое расположение СЧ хуже, чем в уголке зеркала? Многие делают именно на стойке и отказываются от уголков зеркал.
На стойке еще и взаимно СЧ/ВЧ можно весьма компактно расположить, а это для первого пункта из моего сообщения очень важный аспект.
К примеру вот как то так, ну очень компактно.
http://magnitola.org/members/59203-a...ture518544.JPG
ВЧ ближе расположенные, чем СЧ не всегда хорошо получается. ВЧ дальше СЧ обычно получается много лучше.
Высота по вертикали ВЧ относительно СЧ имеет значение.Если ВЧ будет стоять под СЧ т.е. рядом но ниже